Ricerca Sociale con R

Una wiki per l'analisi dei dati con R

Strumenti Utente

Strumenti Sito


r:grafici:boxplot

Boxplot

o Grafici a scatola e baffi

In una distribuzione normale, media e mediana coincidono, e i quantili sono simmetrici rispetto al valore centrale. È dunque pratica comune studiare la forma di una distribuzione con riferimento a tali misure.

Un tipo di rappresentazione grafica adatta a tale scopo è il diagramma “a scatole e baffi”, o *boxplot*, o *box and whiskers plot*.

## Boxplot con una variabile

# dati
data(SLID, package = "carData")
par(bty = "l")                # box del grafico "a elle"
boxplot(SLID$wages, main="Retribuzioni")

Il grafico rappresenta la variabile mediante una “scatola” delimitata in alto e in basso dal primo e dal terzo quartile, e divisa da una linea che corrisponde alla mediana. I “baffi” — i due segmenti che escono dalla “scatola” — indicano il valore minimo e il valore massimo, oltre i quali sono rappresentati i punti degli *outliers*, casi con valori estremi.

*Se i due baffi hanno la stessa lunghezza, e la scatola è divisa a metà dalla riga, la distribuzione è simmetrica*.

Nella figura sopra, le retribuzioni si concentrano sui valori bassi della scala: il baffo inferiore è più corto, e la linea della mediana, all'interno della “scatola”, è leggermente spostata verso il basso.

## Confronto fra più variabili

Possiamo confrontare più variabili con unità di misura diverse standardizzandole, ovvero trasformandole in valori z, con la funzione `scale()`. Da riga di comando, scriveremo:

par(bty = "l")
boxplot(scale(SLID[1:3]))

La forma delle variabili e il loro maggiore o minore discostamento dalla distribuzione normale è qui immediatamente confrontabile.

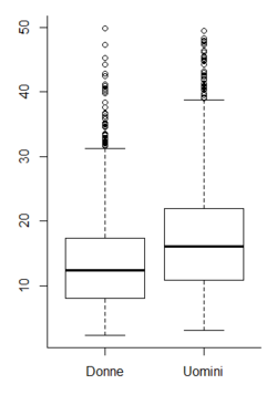
## Boxplot bivariato

Per confrontare la forma delle distribuzioni delle variabili numeriche fra donne e uomini, si deve indicare una *formula* per rappresentare la relazione fra le due: `wages ~ sex`.

par(bty = "l")
boxplot(wages ~ sex, data=SLID, 
        names = c("Donne", "Uomini"))

La distribuzione delle retribuzioni orarie delle donne è interamente spostata sui valori bassi.

## Altro

Vedi anche:

Script di esempio

E' possibile scaricare ed eseguire lo script dell'esempio:

es_boxplot.R
# dati
data(SLID, package = "carData")
 
# bordo del grafico
par(bty = "l")
 
# boxplot semplice
boxplot(SLID$wages, main="Retribuzioni")
 
# variabili standardizzate
boxplot(scale(SLID[1:3]))
 
# bivariato
boxplot(wages ~ sex, data=SLID, 
        names = c("Donne", "Uomini"))

Domande? Scrivimi

Messenger Telegram Email
r/grafici/boxplot.txt · Ultima modifica: 11/08/2025 14:38 da Agnese Vardanega